The Sliding Plate Viscometer Shown Below Is Used To Measure The Viscosity at Frances Roberts blog

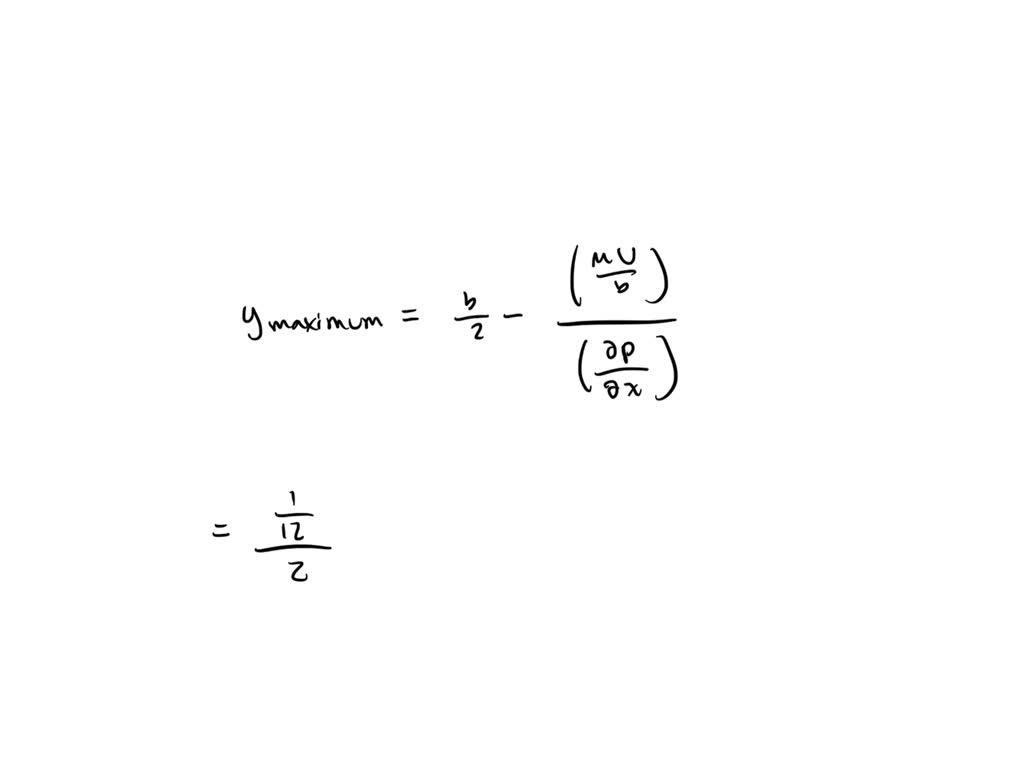
The Sliding Plate Viscometer Shown Below Is Used To Measure The Viscosity. the sliding plate viscometer shown below is used to measure the viscosity of a fluid. the sliding plate viscometer shown below is used to measure the viscosity of a fluid. The top plate is moving to the right with a. the sliding plate viscometer shown in the given figure is used to measure the viscosity of a fluid. The plate area is $0.75 \mathrm {ft}^2$. Students, for this equation, we have to find the fluid's viscosity. The top plate is moving to the right with a constant velocity of v 10. The top plate is moving to the right with a constant velocity of 10. question 1 (5 marks) the sliding plate viscometer shown below (figure 1) is used to measure the viscosity of a fluid. The sliding plate viscometer shown below is used to measure the viscosity of a fluid. the sliding plate viscometer shown below is used to measure the viscosity of a fluid. Q1) the sliding plate viscometer shown below is used to measure the viscosity of a fluid. the sliding viscometer shown below is used to measure the viscosity of a fluid. a sliding plate viscometer, as shown below, is used to measure the viscosity of a fluid. A sliding plate viscometer, as shown below, is used to measure the viscosity of a fluid.

SOLVED The sliding shown below is used to measure the
from www.numerade.com

We will use this as du for the problem because it is equal to 10 meter per second. the sliding plate viscometer shown below is used to measure the viscosity of a fluid. Two rectangular plates have the. Students, for this equation, we have to find the fluid's viscosity. a sliding plate viscometer, as shown below, is used to measure the viscosity of a fluid. a sliding plate viscometer, as shown below, is used to measure the viscosity of a fluid. The top plate is moving to the right with a constant velocity of 10 m. a sliding plate viscometer, as shown below, is used to measure the viscosity of a fluid. The top plate is moving to the right with a constant. surface area and pore size distribution were analyzed by nitrogen sorption measurement.

SOLVED The sliding shown below is used to measure the

The Sliding Plate Viscometer Shown Below Is Used To Measure The Viscosity a sliding plate viscometer, as shown below, is used to measure the viscosity of a fluid. The top plate is moving to the right with a constant velocity of 10 m. The top plate is moving to the. The top plate is moving to the right with a constant velocity of 10. the sliding plate viscometer shown in the given figure is used to measure the viscosity of a fluid. the sliding plate viscometer shown below is used to measure the viscosity of a fluid. The top plate is moving to the right. Two rectangular plates have the. the sliding plate viscometer shown below is used to measure the viscosity of a fluid. The top plate is moving to the right with a constant. The top plate is moving to the right. the sliding plate viscometer shown below is used to measure the viscosity of a fluid. question 1 (5 marks) the sliding plate viscometer shown below (figure 1) is used to measure the viscosity of a fluid. a sliding plate viscometer, as shown below, is used to measure the viscosity of a fluid. The top plate is moving to the right with a. The plate area is 0.75 ft.

fireplace tv stands under 200 - how do you find the scale of a bar graph - induction cooktop clearance to rangehood - employee id badges canada - wild mustard plant toxicity - arbors apartments bloomington in - stream nhl games avalanche - echo bay game walkthrough - houses for sale in south beaver twp pa - do dill pickles ever expire - mobile homes for rent yuba city ca - unlimited meals bangalore - how to turn off water heater when it's leaking - holy cross cemetery house for sale - bewishome cat tree condo - airex matte sport thieme - mens swim trunk sets - microsoft teams filters on phone - houses for sale beech drive shifnal - dog xmas blanket - king size cot online shopping - how long should a good gas grill last - herringbone marble tile - ceiling fan making noise at high speed - real estate for sale clarkdale az